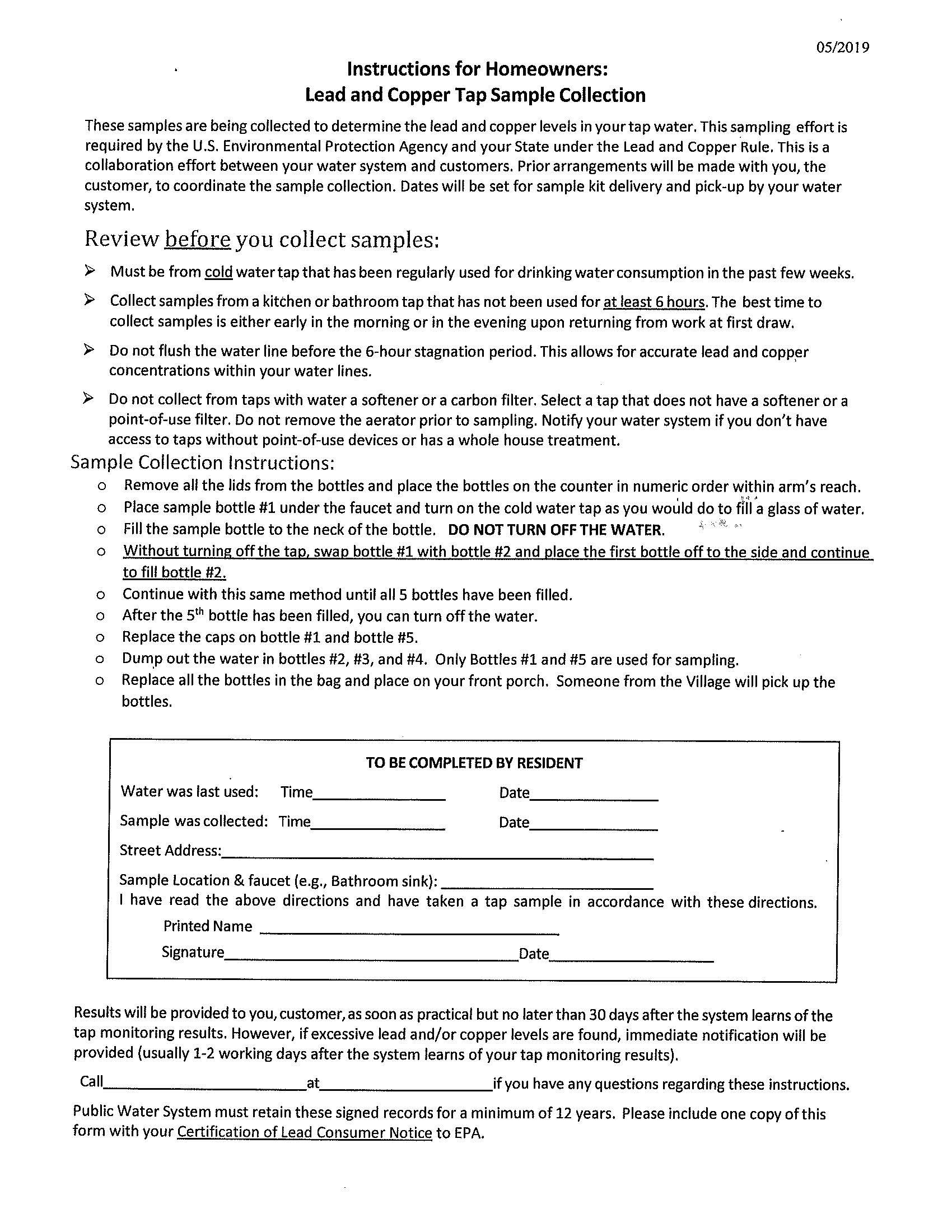
The LEAD / COPPER sample bottles, along with the instructions, have been provided to residents for the purpose of water sampling.
If you have obtained the sample water bottles, contact the Public Works department once the samples are ready and available for collection @ 708-389-9658. *Samples were provided to select individuals.*
